SOLUTION
解決方案
NEWS
行業資訊
凱氏定氮法測定飼料中蛋白質含量
海能儀器
18663999912
儀器與試劑儀器
K1160 全自動凱氏定氮儀,SH420F 石墨消解儀
試劑
硫酸滴定液c(H+)=0.1mol /L、2%硼酸溶液:質量分數、40%氫氧化鈉溶液、溴甲酚綠-甲基紅混合指示劑、催化劑片等。
實驗方法樣品制備
取樣品適量用粉碎機打碎且混合均勻。
實驗過程
稱取制備好的樣品約0.2-0.5g(精確至0.1mg),用稱量紙包好后一并投入消化管中,加一片催化劑片(或者3g硫酸鉀、0.2g硫酸銅),加入10mL濃硫酸。
利用石墨消解爐進行消解,將消化管放在石墨爐上,蓋上排氣罩,連接廢氣吸收系統,
設定消解溫度參數如下表:
| 溫度(℃) | 時間(min) | |
| 1 | 200 | 15 |
| 2 | 420 | 90-120 |
消化完畢后,將消化管取下冷卻。待消化管內溶液冷卻至室溫后,將消化管放置于定氮儀上,開始蒸餾滴定。定氮儀設置程序如下:
| 硼酸 | 稀釋水 | 堿液 | 蒸餾量 | 蒸汽流量 |
| 25ml | 20ml | 40ml | 300s | 100% |
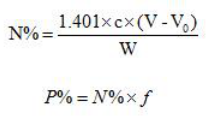
實驗結果儀器自動滴定并計算,計算公式如下。
式中:c-標準酸摩爾濃度(mol/L)
W-樣品質量(g)
V0-空白樣滴定標準酸消耗量(mL)
V-樣品滴定標準酸消耗量(mL),精確到小數點后四位
f-蛋白質系數
①紅魚粉(蛋白轉換系數6.25)
ONLINE MESSAGE
給英芮誠留言 獲取實驗室整體解決方案
咨詢服務熱線
18663999912
微信號碼
186 6399 9912
英芮誠郵箱
qdyjh1977@126.com
在線
客服
服務時間:9:00~16:00

客服
熱線
18663999912
關注
微信
關注我們
返回
頂部